吴恩达机器学习入门笔记5-正则化
5 正则化
给参数增加惩罚项,达到简化假设函数,降低过拟合的目的
5.1 正则化线性回归
5.1.1 正则化代价函数
\[ J(\theta)=\frac{1}{2 m}\left[\sum_{i=1}^{m}(h_{\theta}(x^{(i)})-y^{(i)})^{2}+\lambda \sum_{j=1}^{n} \theta_{j}^{2}\right]\tag{5.1} \]
右边加的项称为正则化项,\(\lambda\)称为正则化参数,有两个目标
- 更好地拟合训练集
- 保证1的同时尽量减小参数,保持假设模型简单避免出现过拟合情况
- 一般约定不对\(\theta_0\)进行正则化
- 若\(\lambda\)设置过大,参数会接近于0,导致假设函数只有\(\theta_0\)项,即假设函数是一条水平直线,因此需要选择一个合适的正则化参数
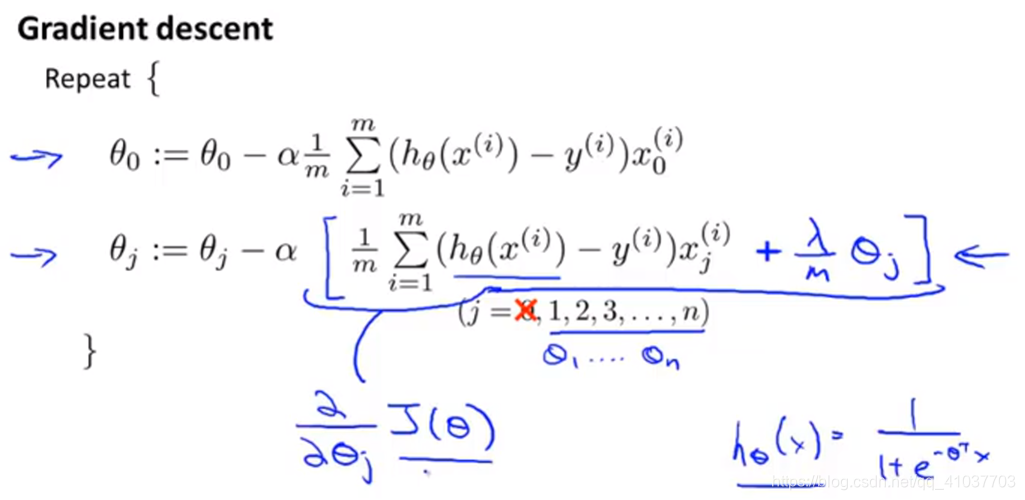
5.1.2 正则化梯度下降

学习率\(\alpha\)很小,样本量m很大,因此正则化即每次将参数向0方向缩小一点
5.1.3 正则化正规方程
\[ \theta=\left(X^{T} X+\lambda\left[\begin{array}{cccc}{0} \\ {} & {1} \\ {} & {} & {1} \\ {} & {} & {} & {\ddots} \\ {} & {} & {} & {1}\end{array}\right]\right)^{-1} X^{T} y\tag{5.2} \]
其中加入的矩阵为(n+1)×(n+1)维
- 如果样本量m小于特征变量个数n,则\(X^TX\)不可逆,为奇异矩阵,但只要\(\lambda>0\),可确保矩阵和非奇异
5.2 正则化逻辑回归
5.2.1 正则化代价函数
\[ \begin{aligned} J(\theta)=-[\frac{1}{m}\sum_{i=1}^{m} y^{(i)} \log h_{\theta}(x^{(i)})+(1-y^{(i)}) \log (1-h_{\theta}(x^{(i)}))]+\frac{\lambda}{2m}\sum_{j=1}^{n}\theta_j^2 \end{aligned}\tag{5.3} \]
- 计算后一项记得从j=1开始,因为不正则化\(\theta_0\)
5.2.2 正则化梯度下降

5.2.3 正则化高级算法

5.3 正则化与偏差方差的关系

\(\lambda\)越大,训练集和验证集的偏差越大,\(\lambda\)越小,训练集的误差越小,验证集的方差越大
原文:https://www.cnblogs.com/jestland/p/11548491.html